Ответы
Ответ дал:
0
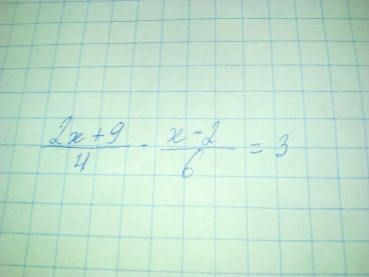
(2х + 9)/ 4 - (х-2)/6 = 3 (избавимся от знаменателей, домножив на 12 соответственно)
3(2х + 9) - 2(х-2)=36
6х+27-2х+4=36
4х+31=36
4х=36-31
4х=5
х=5/4=1,25= 1* 1/4
Ответ: 1,25
3(2х + 9) - 2(х-2)=36
6х+27-2х+4=36
4х+31=36
4х=36-31
4х=5
х=5/4=1,25= 1* 1/4
Ответ: 1,25
Вас заинтересует
2 года назад
2 года назад
3 года назад
9 лет назад
10 лет назад