Ответы
Ответ дал:
0
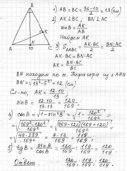
Если площади треугольников ещё не проходили то можно обозначить BK=x, тогда КС=13-х. Затем выразить АК^2 из треугольника ABK и AKC.
AK^2=13^2-x^2; AK^2=10^2-(13-x)^2.
Далее решить уравнение 13^2-x^2=10^2-(13-x)^2, т. е. найти длину отрезка BK, потом найти косинус угла В, затем синус, а потом и тангенс.
AK^2=13^2-x^2; AK^2=10^2-(13-x)^2.
Далее решить уравнение 13^2-x^2=10^2-(13-x)^2, т. е. найти длину отрезка BK, потом найти косинус угла В, затем синус, а потом и тангенс.
Приложения:
Вас заинтересует
2 года назад
3 года назад
3 года назад
9 лет назад
9 лет назад
10 лет назад