• Предмет: Алгебра
  • Автор: DITka777
  • Вопрос задан 9 лет назад

Помогите решить номера!Даю 26 баллов

Приложения:

Ответы

Ответ дал: kartew
0
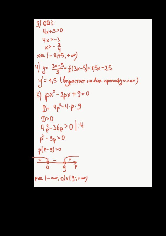
Готово. Ответ на фото.
Приложения:
Вас заинтересует