• Предмет: Алгебра
  • Автор: Veronikadetkina22
  • Вопрос задан 9 лет назад

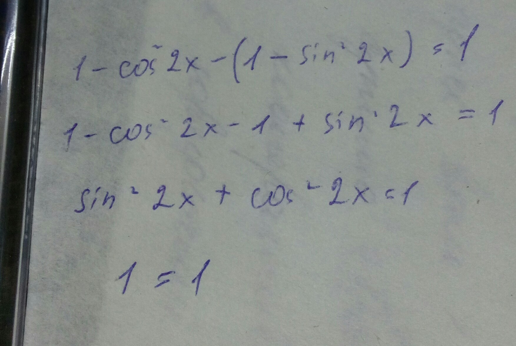
sin^2 2x-cos^2 2x=1
Пожалуйста

Ответы

Ответ дал: Akvarellka
0
Возможно так, по формуле все
Приложения:
Вас заинтересует