Ответы
Ответ дал:
3
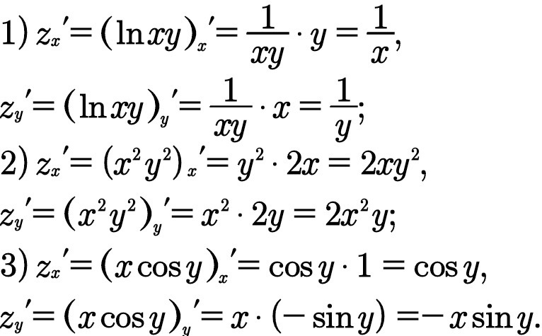
Решение на фотографии.
Приложения:

nastya200435:
Помогите ещё с заданием пожалуйста) найти экстремум функции z=2x+y при условии x^2+y^2=5
Вас заинтересует
1 год назад
2 года назад
2 года назад
3 года назад
3 года назад
8 лет назад