Помогите пожалуйста даю 17 баллов нужно сделать за 15-25минут !!!!!
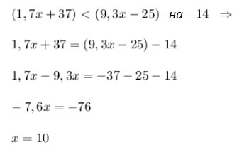
При каком значении x значение выражения 1,7x+37 меньше значения выражения 9,3x−25 на 14?
Ответы
Ответ дал:
0
..............................................................................................................
Приложения:

Вас заинтересует
2 года назад
2 года назад
3 года назад
9 лет назад
9 лет назад