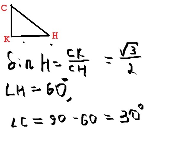
в прямоугольном треугольники СКН угол К прямой
А) угол Н равен 45 градусов, КН= 8√2,найдите КС И СН
Б) КС=4√15 СН=8√5. Найдите углы Н и С
Ответы
Ответ дал:
0
Прикрепляю решения в виде рисунков
Приложения:


Вас заинтересует
2 года назад
2 года назад
3 года назад
3 года назад
9 лет назад
9 лет назад
10 лет назад