• Предмет: Алгебра
  • Автор: wowlandigo
  • Вопрос задан 8 лет назад

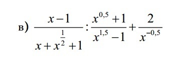
Упростить выражение
Если можно то подробней

Приложения:

Ответы

Ответ дал: ЯгодкаЯлесная
0
фоточка тебе в помощь ;)
Приложения:
Вас заинтересует