• Предмет: Математика
  • Автор: 1hochuvsharagy1
  • Вопрос задан 8 лет назад

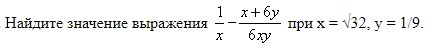
Найдите значение выражения.

Приложения:

Ответы

Ответ дал: PuncakeDG
0
1/x-(x+6y)/6xy=(6y-x-6y)/6xy=-x/6xy=-1/6y
-1/(6/9)=-9/6=-1.5
Ответ дал: dubinayulechka
0
1/x-(x+6y)/6xy=(6y-x-6y)/6xy=-x/6xy=-1/6y
-1/(6/9)=-9/6=-1.5
Вас заинтересует