помогите пожалуйста срочно бак наполняют через две трубы:через первую -за 14 минут, через вторую -за 21 минуту.за сколько минут бак наполнится через две трубы при их совместной работе?ответьте на вопрос задачи если бак наполнится через первую трубу 1) за 16 мин через вторую за 24 мин 2)за 18 мин через вторую за 36 мин 3)за 22 мин через вторую за 33мин 4)за 26 мин через вторую за 39 минут .
Ответы
Ответ дал:
0
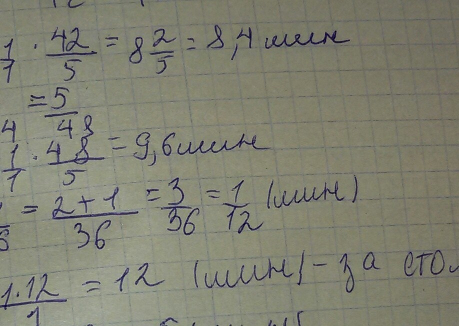
Вот вам верное решение.
Приложения:

Ответ дал:
0
Складывай 14и21 и т.д просто складывай их между собой ну как то так наверное
Приложения:

Вас заинтересует
2 года назад
2 года назад
3 года назад
3 года назад
9 лет назад
9 лет назад