Ответы
Ответ дал:
0
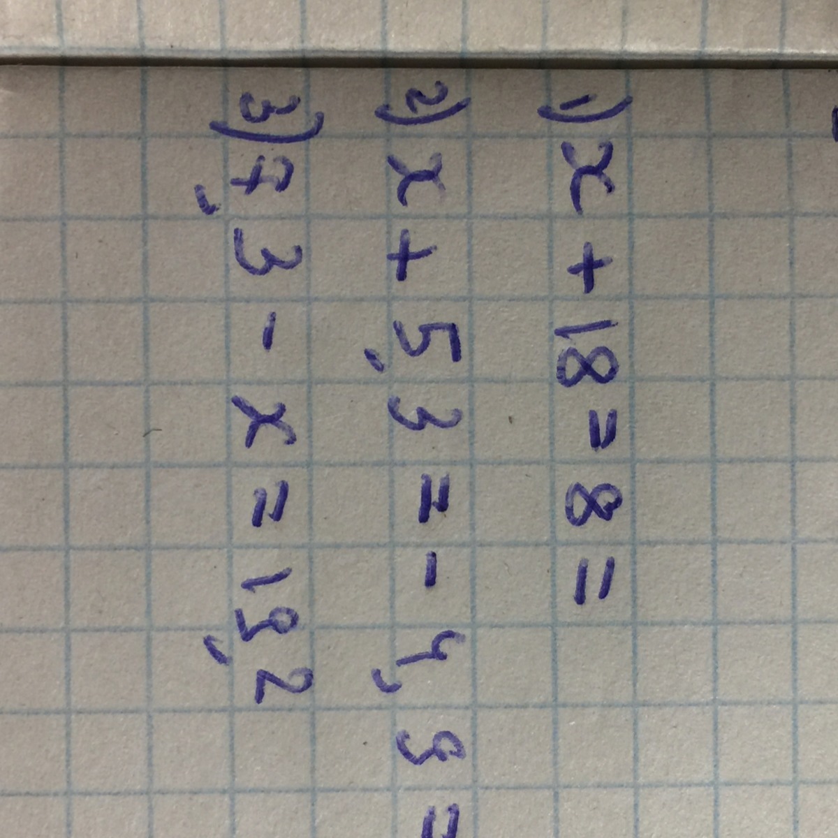
1) х+18=8
х=8-18
х=-10
2)х+5,3=-4,9
х=-4,9-5,3
х=-10,2
3) 7,3-х=19,2
-х=19,2+7,3
х= -26,5
х=8-18
х=-10
2)х+5,3=-4,9
х=-4,9-5,3
х=-10,2
3) 7,3-х=19,2
-х=19,2+7,3
х= -26,5
Вас заинтересует
2 года назад
2 года назад
3 года назад
3 года назад
9 лет назад
9 лет назад
10 лет назад