Ответы
                                            Ответ дал: 
                                                                                    
                                        
                                            
                                                
                                                
                                                
                                                    4
                                                
                                            
                                        
                                    
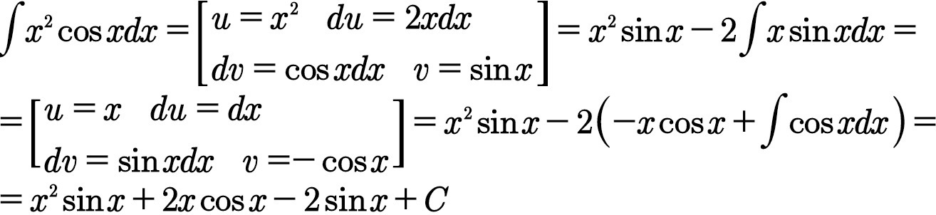
                                        Решениеина фотографии. 
                                    
                                                Приложения:
                     
                            
                    Shanon:
                    Спасибо большое!
                
            
                    
                    Пожалуйста!
                
            Вас заинтересует
                
                        1 год назад
                    
                
                        2 года назад
                    
                
                        2 года назад
                    
                
                        3 года назад
                    
                
                        3 года назад
                    
                
                        8 лет назад
                    
                
                        8 лет назад
                    
                