• Предмет: Математика
  • Автор: Дмитрий45631
  • Вопрос задан 2 года назад

найдите все значения x при которых f'(x)=0 если f(x)=sin2x + корень 2x

Ответы

Ответ дал: Аноним
1
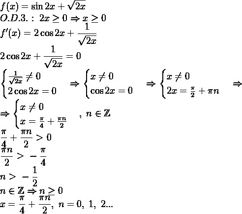
f(x)=\sin2x+\sqrt{2x}\\O.D.3.:\;2x\geq0\Rightarrow x\geq0\\f'(x)=2\cos2x+\frac1{\sqrt{2x}}\\2\cos2x+\frac1{\sqrt{2x}}=0\\\begin{cases}\frac1{\sqrt{2x}}\neq0\\2\cos2x=0\end{cases}\Rightarrow\begin{cases}x\neq0\\\cos2x=0\end{cases}\Rightarrow\begin{cases}x\neq0\\2x=\frac\pi2+\pi n\end{cases}\Rightarrow\\\Rightarrow\begin{cases}x\neq0\\x=\frac\pi4+\frac{\pi n}2\end{cases},\;n\in\mathbb{Z}\\\frac\pi4+\frac{\pi n}2\ \textgreater \ 0\\\frac{\pi n}2\ \textgreater \ -\frac\pi4\\n\ \textgreater \ -\frac12\\n\in\mathbb{Z}\Rightarrow n\geq0
\\x=\frac\pi4+\frac{\pi n}2,\;n=0,\;1,\;2...
Приложения:
Вас заинтересует