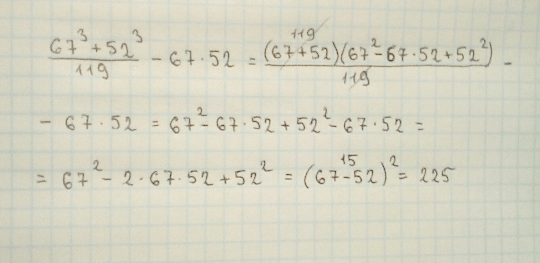
Вычислите наиболее рациональным способом
67^3+52^3
------------------ -- 67*52
119
ЯгодкаЯлесная:
непонятно (, там сначала дробь, а потом минус 67*52?
Ответы
Ответ дал:
41
фоточка тебе в помощь ;)
Приложения:
Вас заинтересует
2 года назад
2 года назад
2 года назад
3 года назад
3 года назад
9 лет назад
9 лет назад