• Предмет: Математика
  • Автор: vladiirpit
  • Вопрос задан 8 лет назад

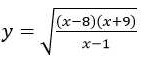
найдите область определения функции

Приложения:

Ответа на этот вопрос пока нет. Попробуйте найти его через форму поиска.

Вас заинтересует