Помогите, пожалуйста, задание по прогрессии
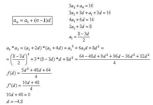
Сумма утроенного второго и четвёртого членов арифметической прогрессии равна 48. Определи, при каком значении разности прогрессии произведение третьего и пятого членов прогрессии будет наименьшем.
Разность прогрессии: d=
Ответы
Ответ дал:
3
d=-4,8
(делал сам, но думал, что в каком то месте ошибся. Так что взял в проверенном месте)
(делал сам, но думал, что в каком то месте ошибся. Так что взял в проверенном месте)
Приложения:

Вас заинтересует
1 год назад
1 год назад
2 года назад
2 года назад
3 года назад
3 года назад
8 лет назад