Ответы
Ответ дал:
0
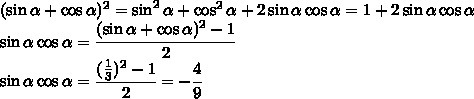
на держи там всё понятно обьяснено
Приложения:

Ответ дал:
0
ок
Вас заинтересует
2 года назад
3 года назад
3 года назад
9 лет назад
9 лет назад