• Предмет: Алгебра
  • Автор: mugap
  • Вопрос задан 9 лет назад

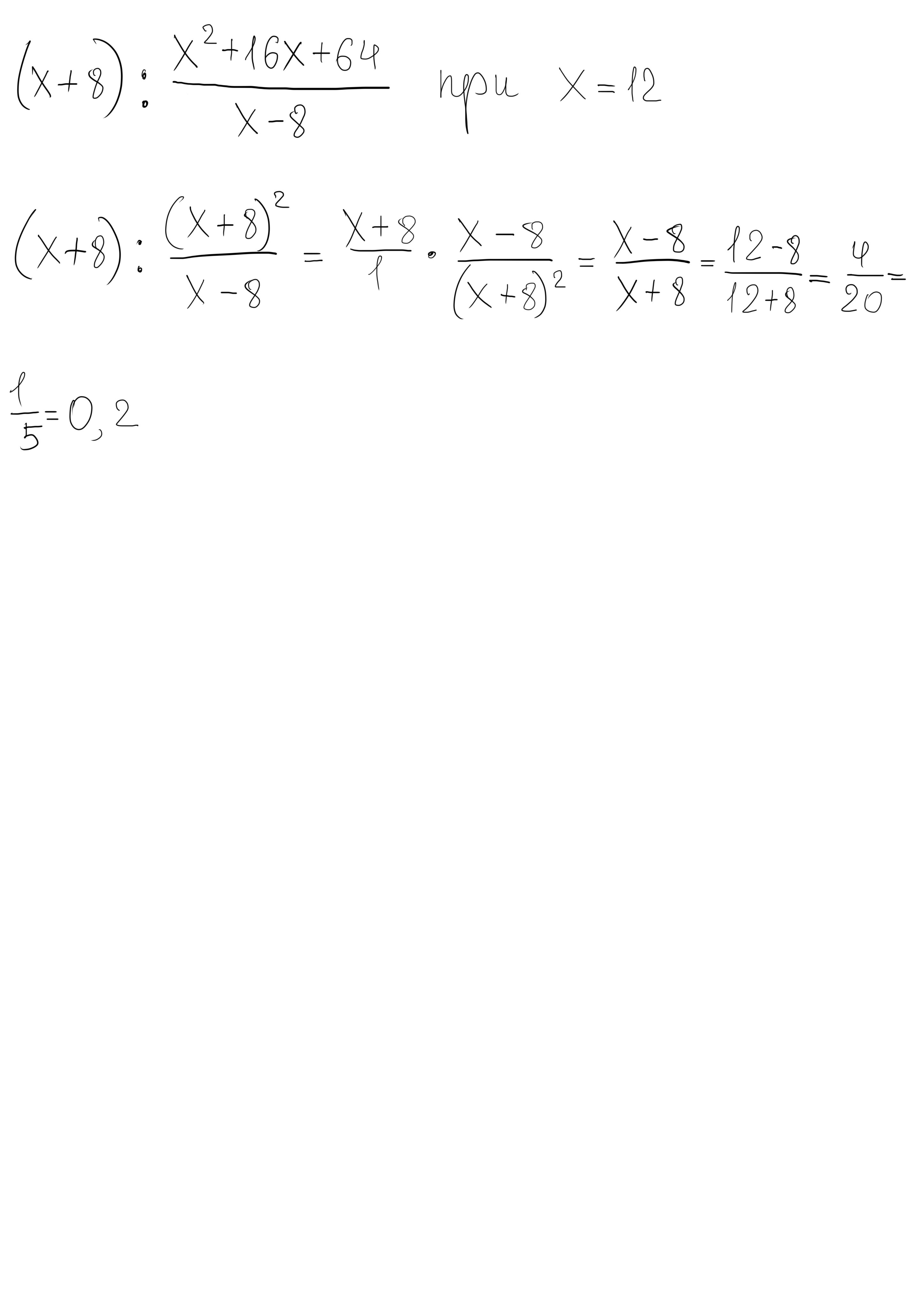
как решить это??????????7

Приложения:

Ответы

Ответ дал: Kirik009
0
вроде все правильно, но лучше проверить
Приложения:
Ответ дал: mugap
0
спасибо огромное, всё верно.
Вас заинтересует