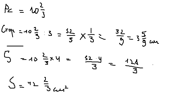
Периметр равностороннего треугольника равен 10 2/3 см. Найдите сторону этого треугольника .Чему равна площадь квадрата,который имеет тот же периметр,что и данный треугольник. Очень нужно решение......
Ответы
Ответ дал:
0
Прости ,но дроби удобнее рисовать))
Приложения:
Вас заинтересует
3 года назад
3 года назад
8 лет назад
8 лет назад
11 лет назад
11 лет назад
11 лет назад