• Предмет: Алгебра
  • Автор: человек458
  • Вопрос задан 8 лет назад

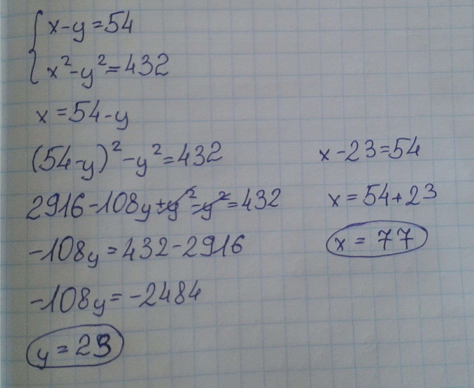
решите задачу уравнением разность двух чисел 54.Разность квадратов равна 432. Найдите эти числа
ПОООЖАЛУЙСТААА СРООЧНО ВАЖНАЯ КОНТРОЛЬНАЯ

Ответы

Ответ дал: ЛилияВайберт
0
Все на фотографии есть
Приложения:
Ответ дал: человек458
0
спасибо большое!!!!!
Вас заинтересует