• Предмет: Математика
  • Автор: raisha01
  • Вопрос задан 9 лет назад

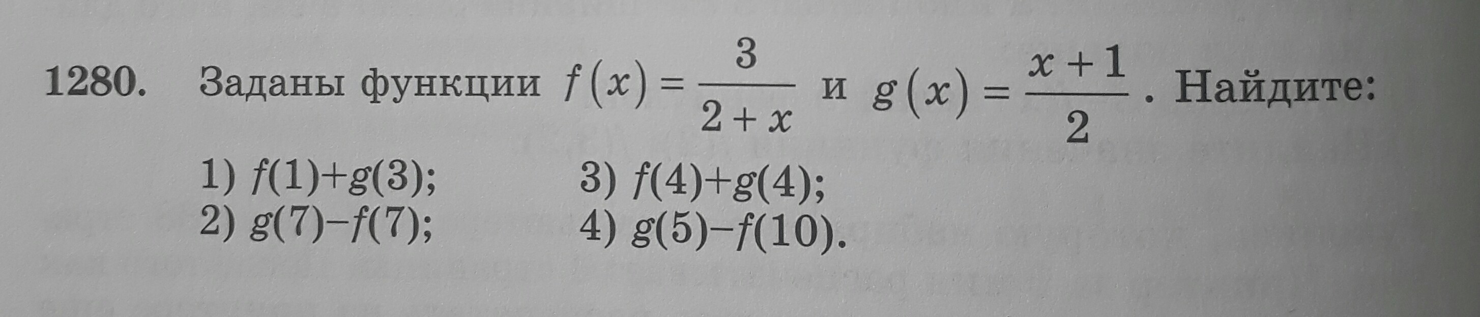
Помогите пожалуйста регишь МАТЕМАТИКУ!!!НУЖНО СРОЧНО НОМЕР 1280

Приложения:

Ответа на этот вопрос пока нет. Попробуйте найти его через форму поиска.

Вас заинтересует