Ответы
Ответ дал:
0
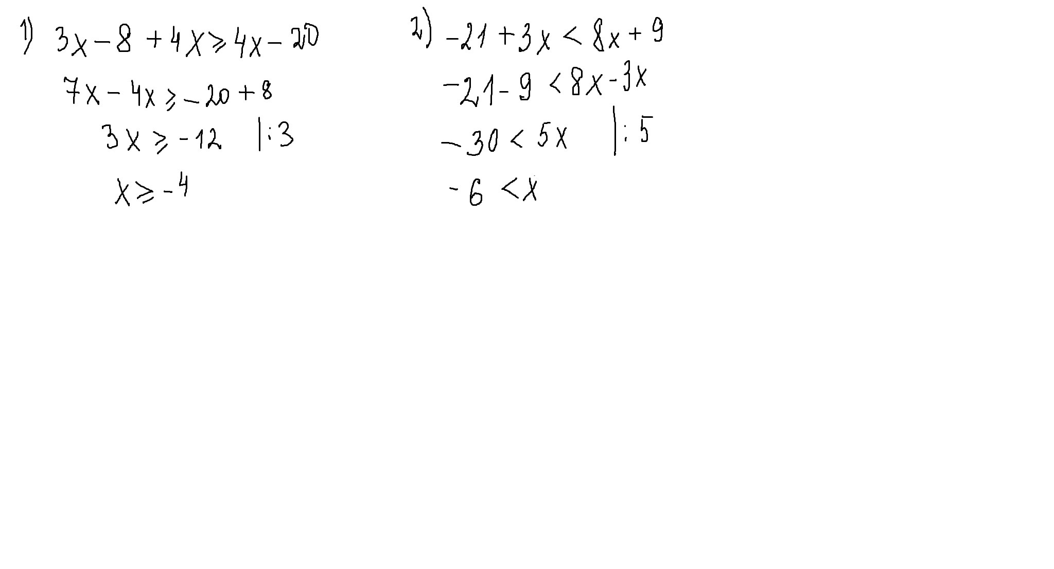
Ответ на фото, и первое и второе
Приложения:

Ответ дал:
0
решение смотри внизу
писала сразу 2 строчку,раскрывая скобки
писала сразу 2 строчку,раскрывая скобки
Приложения:

Вас заинтересует
2 года назад
2 года назад
3 года назад
3 года назад
9 лет назад
9 лет назад
9 лет назад
9 лет назад