• Предмет: Математика
  • Автор: Лээ
  • Вопрос задан 9 лет назад

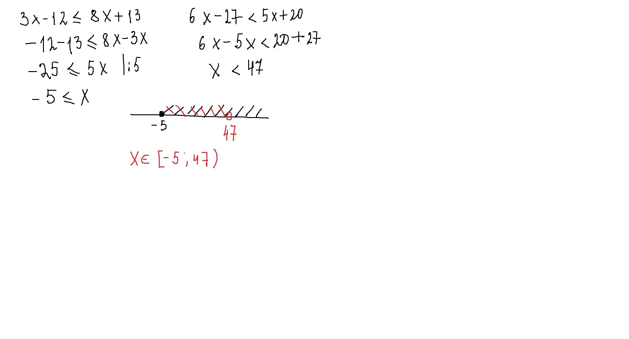
помогите решить неравенства пожалуйста....срочно.....

Приложения:

Ответы

Ответ дал: parus77
0
я решила как неравенства,но в ответе записала ответ для системы

Приложения:
Вас заинтересует