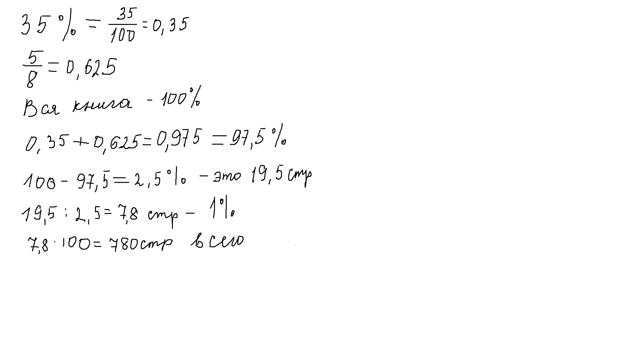
прочитал 35% всей книги, а во второй день пять восьмых (обыкновенная дробь), а в третий день он прочитал 19,5 страниц. Сколько страниц в книге всего? Срочного!!!!! Помогите пожалуйста!!!
Ответы
Ответ дал:
0
решение смотри внизу
Приложения:

Вас заинтересует
2 года назад
9 лет назад
9 лет назад