• Предмет: Алгебра
  • Автор: СлаваSLOVO
  • Вопрос задан 8 лет назад

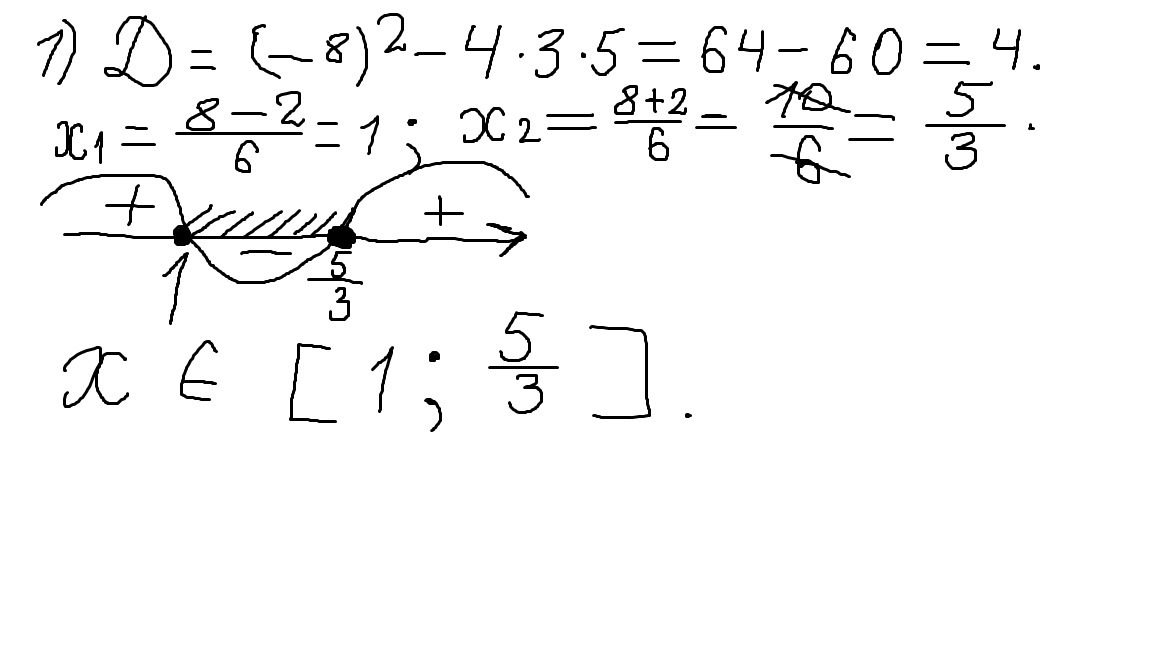
Найдите целые решения неравенств : 1) 3х²-8х+5≤0; 2) х²-4х+4≤0 ;С чертежом.

Ответы

Ответ дал: Neoooo
0
))))))))))))))))))))))))))))
Приложения:
Ответ дал: Neoooo
0
ща 2 сделаю
Ответ дал: СлаваSLOVO
0
Мог бы сразу два сделать
Ответ дал: Neoooo
0
пойдет?
Ответ дал: СлаваSLOVO
0
Да
Вас заинтересует