Ответы
Ответ дал:
0
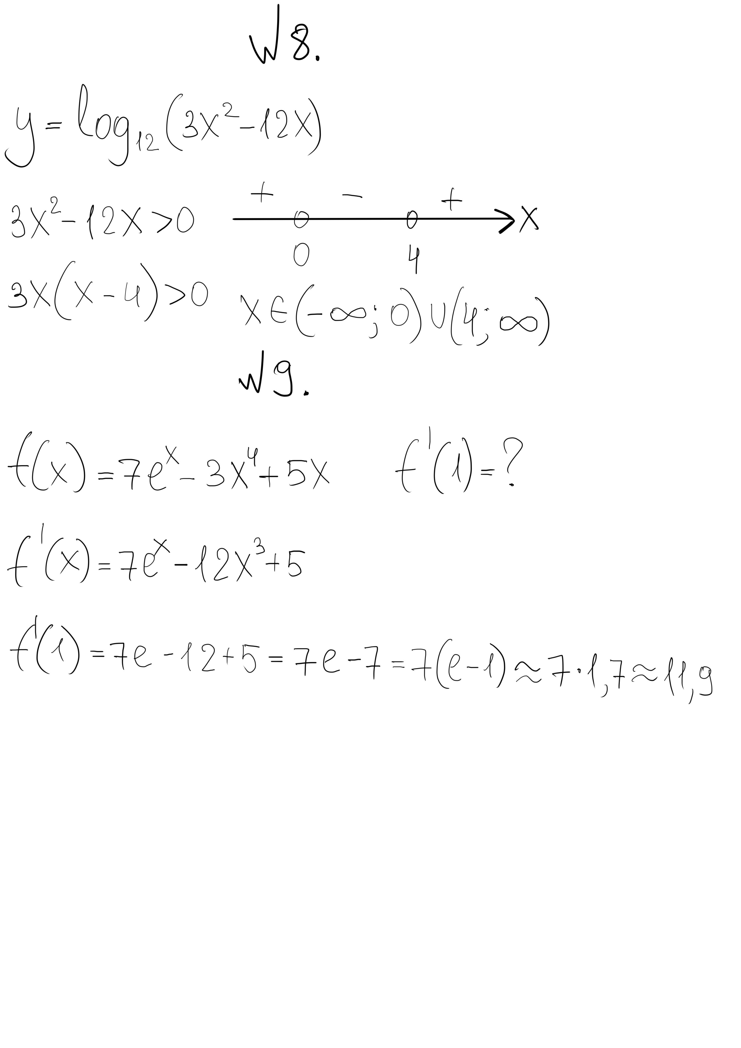
вроде все правильно, но лучше проверить
Приложения:

Ответ дал:
0
Спасибо
Вас заинтересует
2 года назад
2 года назад
3 года назад
9 лет назад