• Предмет: Алгебра
  • Автор: Аноним
  • Вопрос задан 9 лет назад

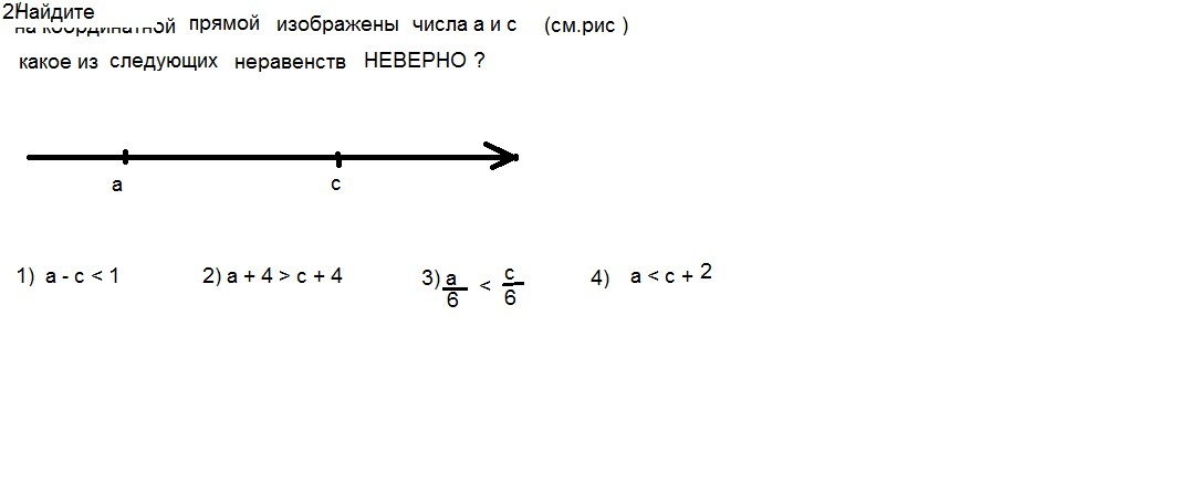
......................

Приложения:

Ответы

Ответ дал: dopge334
0
3).....................
Ответ дал: dopge334
0
там на калькуляторе решить изи
Вас заинтересует