Ответы
Ответ дал:
0
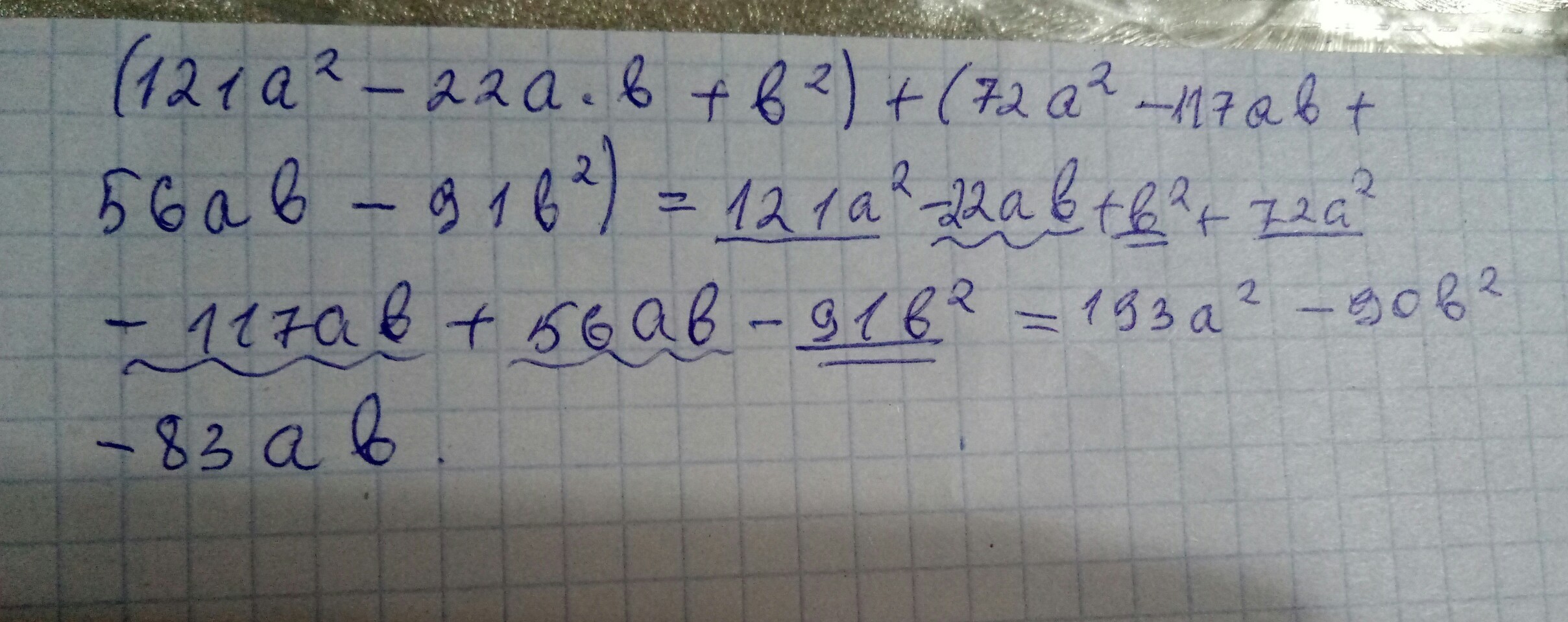
Думаю что так, не уверена конечно, но все же
Приложения:

Ответ дал:
0
Да, у тебя все правильно, я сама решила и проверила))
Ответ дал:
0
а почему там 121а², а не просто 11а²?
Ответ дал:
0
Потому что он(а) уже сразу скобки раскрыла, уже сразу начала решать
Ответ дал:
0
Потому что ты возводишь в квадрат 11 и а
Ответ дал:
0
Спасибо огромное❤❤❤
Вас заинтересует
2 года назад
3 года назад
3 года назад
9 лет назад
9 лет назад
10 лет назад