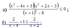
Помогите, пожалуйста, решить иррациональные и рациональные уравнения и неравенства . с подробным решением ,пожалуйста.
Приложения:


Ответы
Ответ дал:
0
______________________€____________
Приложения:



Вас заинтересует
2 года назад
2 года назад
3 года назад
3 года назад
9 лет назад
9 лет назад