• Предмет: Алгебра
  • Автор: Redoser
  • Вопрос задан 8 лет назад

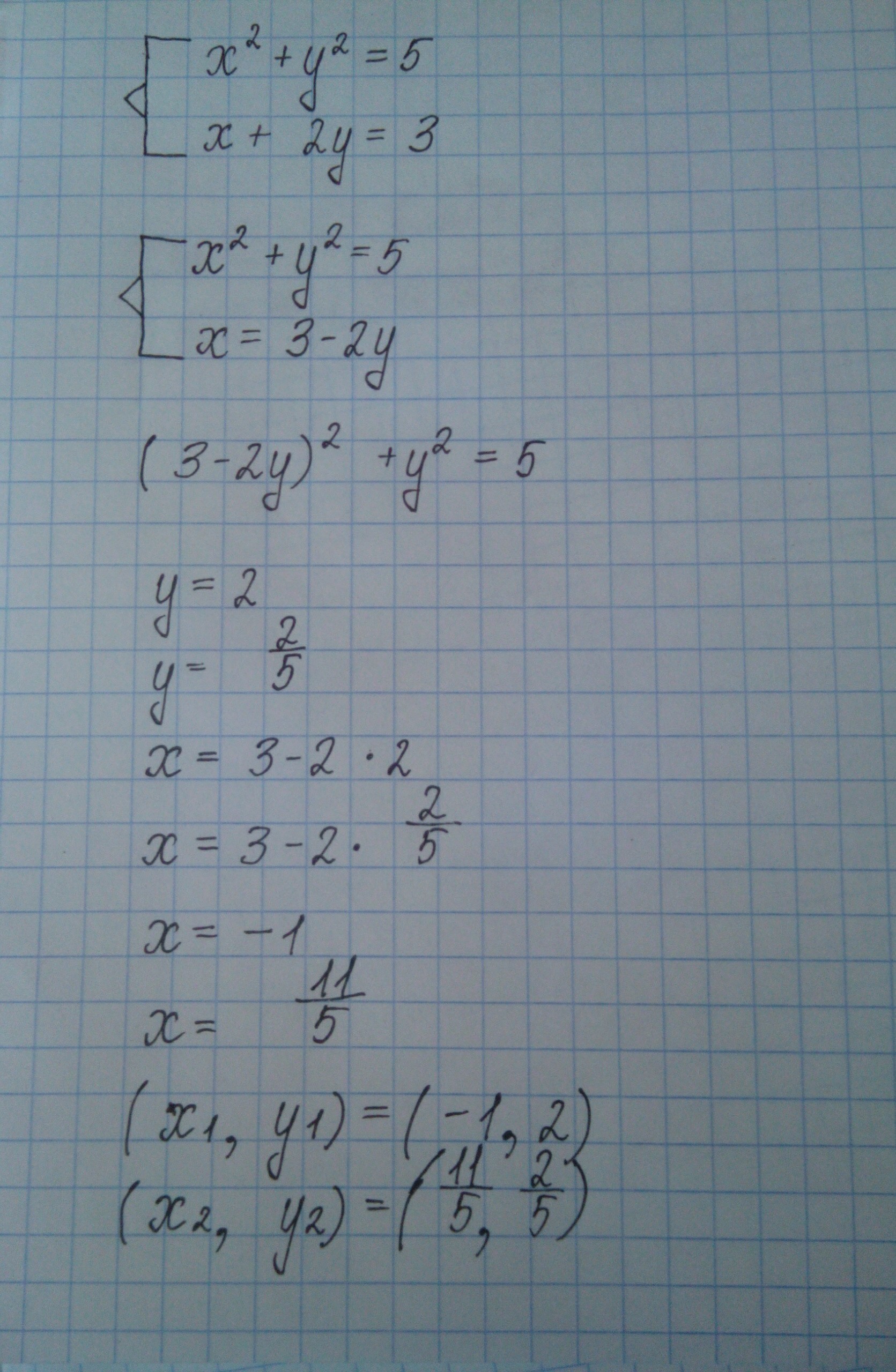
Решите систему систему уравнений { x²+y²=5 x+2y=3.

Ответы

Ответ дал: Аноним
0
Решение в изображённом виде.
Приложения:
Ответ дал: Redoser
0
Спасибо большое вам!
Ответ дал: Аноним
0
Системы уравнений – моя любовь!
Ответ дал: Redoser
0
Это здорово!
Ответ дал: Аноним
0
Я тоже так думаю
Вас заинтересует