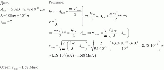
Какова максимальная скорость электронов,вырванных с поверхности платины при её облучении светом длиной волны 100нм?работа выхода электронов из платины равна 5,3 эв.
Я нашла решение, но мне не понятно, откуда m взяли
Приложения:

Ответы
Ответ дал:
0
Масса электрона всегда константа 9,1*10^-31кг в задачках такого типа должны были дать эту массу
Вас заинтересует
2 года назад
3 года назад
3 года назад
9 лет назад
9 лет назад
9 лет назад