• Предмет: Алгебра
  • Автор: MrNikitos
  • Вопрос задан 9 лет назад

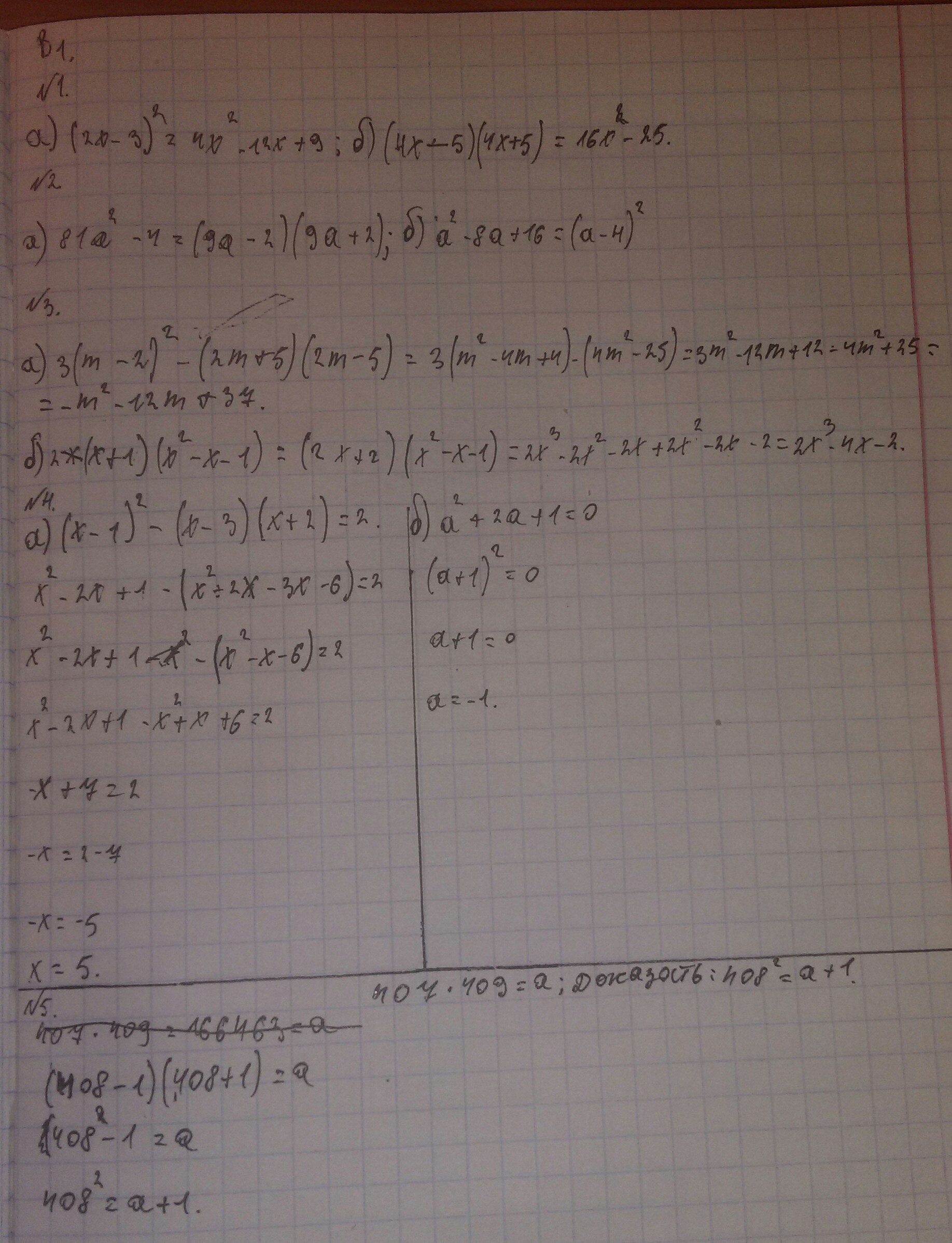
Надо решить все задачи с этого листочка!

Приложения:

Ответы

Ответ дал: Анастасия14121
0
......................
Приложения:
Ответ дал: Аноним
0
решение на фотографии
Приложения:
Вас заинтересует