Ответы
Ответ дал:
0
2.1) a) (3a+p)(3a−p)+p2=9a^2−3ap+3ap-p2+p2=9a^2;
б) (a+11)^2−20a=a^2+22a+121−20a=a^2+2a+121;
в) 25a^2−(c−5a)(c+5a)=25a^2−c^2−5ca+5ac+25a^2=50a^2−c^2;
г) 4x^2−(x−3y)^2=4x^2−x^2+6xy−9y^2=3x^2+6xy−9y^2;
2) а) (a+2b)(a−2b)−(a−b)^2= a^2-2ab+2ba−4b^2−a^2+2ab−b^2=−2ab+4ba−5b^2=2ab−5b^2;
б) (y+x)^2−(y−x)^2=y^2+2yx+x^2−y^2+2yx−x^2=4xy;
в) (a−2b)^2+(a+2b)(a−2b)=a^2−4ab+4b^2+a^2-2ab+2ba−4b^2=2a^2−4ab;
г) (a−5x)^2+(a+5x)^2=a^2−10ax+25x^2+a^2+10ax+25x^2=2a^2+50x^2;
д) (b−1)(b+1)−(a+1)(a−1)=b^2+b−b−1−a^2+a−a+1= b^2−a^2;
е) (3a−2)(3a+2)+(a+8)(a−8)=9a^2+6a−6a−4+a^2-8a+8a−64=10a^2−68.
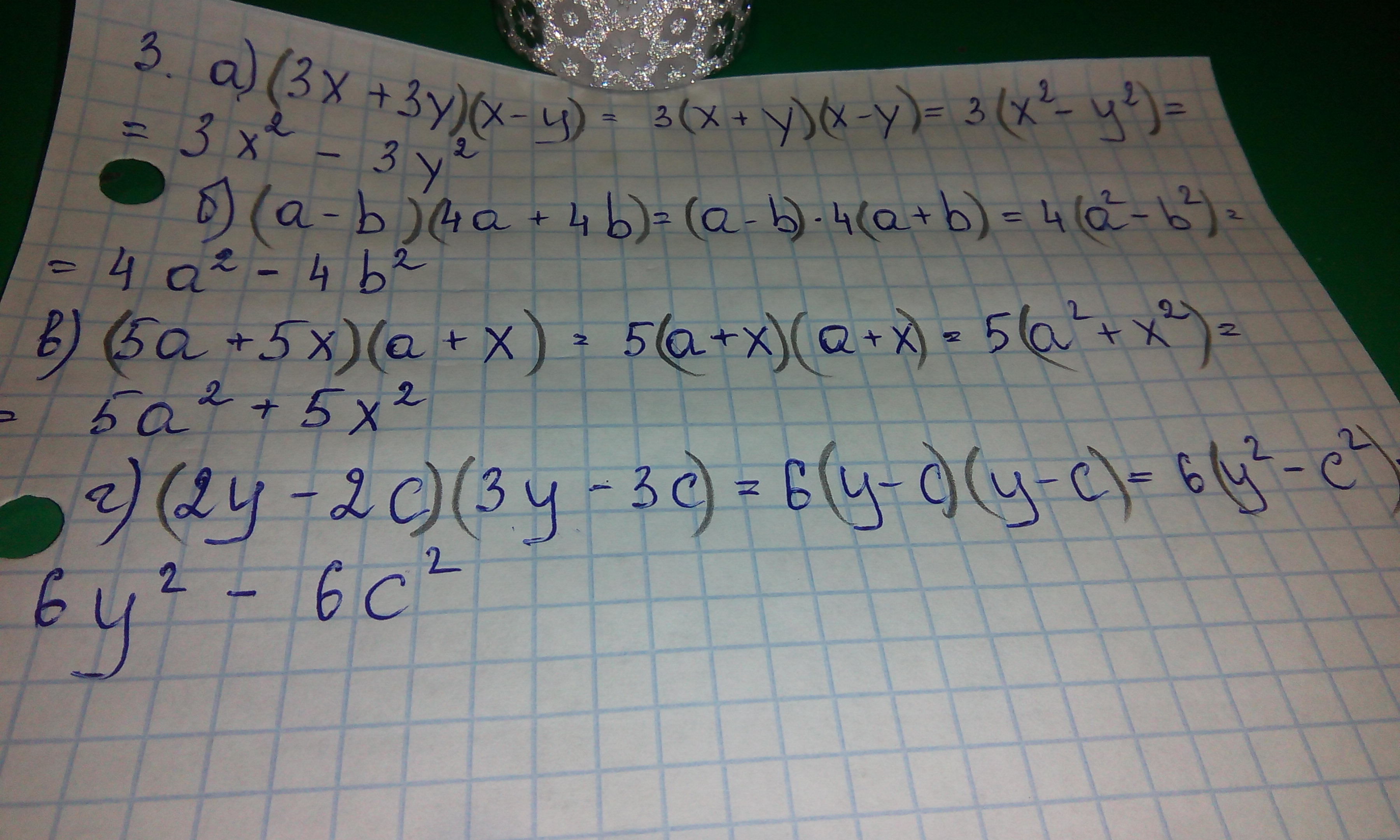
3. На фотографии;
4.a) (1−5x)(1+5x)−(3x−1)^2=1+5x−5x−25x^2−9x^2+6x−1=5x+x−34x^2=6x−34x^2;
б) (a+2b)(2b−a)+(a+3b)=2ab-a^2+4b^2−2ba+a+3b=−a^2+4b^2+3b+a;
б) (a+11)^2−20a=a^2+22a+121−20a=a^2+2a+121;
в) 25a^2−(c−5a)(c+5a)=25a^2−c^2−5ca+5ac+25a^2=50a^2−c^2;
г) 4x^2−(x−3y)^2=4x^2−x^2+6xy−9y^2=3x^2+6xy−9y^2;
2) а) (a+2b)(a−2b)−(a−b)^2= a^2-2ab+2ba−4b^2−a^2+2ab−b^2=−2ab+4ba−5b^2=2ab−5b^2;
б) (y+x)^2−(y−x)^2=y^2+2yx+x^2−y^2+2yx−x^2=4xy;
в) (a−2b)^2+(a+2b)(a−2b)=a^2−4ab+4b^2+a^2-2ab+2ba−4b^2=2a^2−4ab;
г) (a−5x)^2+(a+5x)^2=a^2−10ax+25x^2+a^2+10ax+25x^2=2a^2+50x^2;
д) (b−1)(b+1)−(a+1)(a−1)=b^2+b−b−1−a^2+a−a+1= b^2−a^2;
е) (3a−2)(3a+2)+(a+8)(a−8)=9a^2+6a−6a−4+a^2-8a+8a−64=10a^2−68.
3. На фотографии;
4.a) (1−5x)(1+5x)−(3x−1)^2=1+5x−5x−25x^2−9x^2+6x−1=5x+x−34x^2=6x−34x^2;
б) (a+2b)(2b−a)+(a+3b)=2ab-a^2+4b^2−2ba+a+3b=−a^2+4b^2+3b+a;
Приложения:

Ответ дал:
0
огромное спасибо
Вас заинтересует
2 года назад
3 года назад
9 лет назад
9 лет назад
10 лет назад