• Предмет: Математика
  • Автор: lizamarkiza11
  • Вопрос задан 8 лет назад

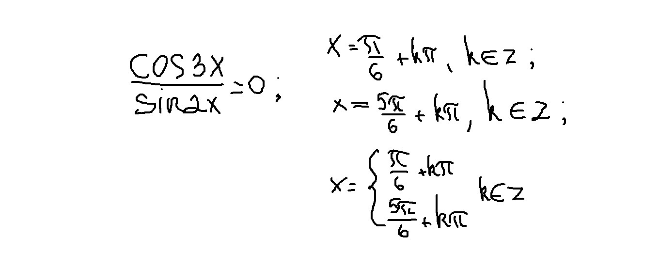
Помогите решить уравнение

Приложения:

Ответы

Ответ дал: 8a3l5i8n3a7
0
Не знаю, так ли. Но ответ на фото.
Приложения:
Ответ дал: lizamarkiza11
0
Или синус 2х не ровняется нулю?
Вас заинтересует