Ответы
Ответ дал:
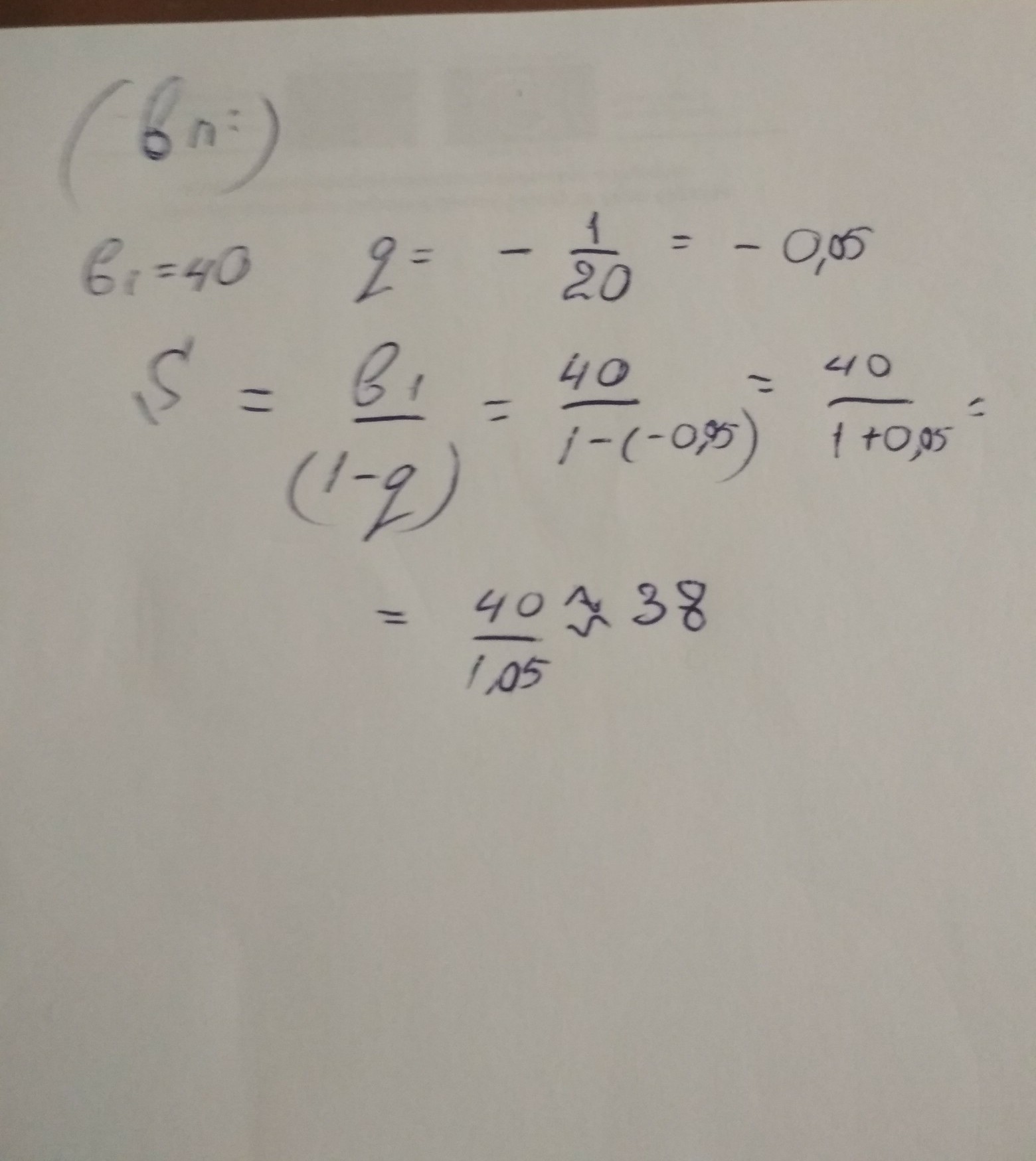
0
.......................
Приложения:

Вас заинтересует
2 года назад
3 года назад
10 лет назад