• Предмет: Математика
  • Автор: seregarulitru
  • Вопрос задан 9 лет назад

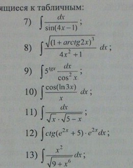
Помогите решить мнтегралы

Приложения:

Ответы

Ответ дал: NNNLLL54
0
8); ; int frac{sqrt{(1+arctg2x)^3}}{4x^2+1}dx=[, u=1+arctg2x,; du=frac{2,dx}{1+4x^2}, ]=\\=frac{1}{2}int sqrt{u^3}, du=frac{1}{2}cdot frac{u^{5/2}}{5/2}+C=frac{sqrt{(1+arctg2x)^5}}{5}+C\\9); ; int 5^{tgx}cdot frac{dx}{cos^2x}=[u=tgx]=int 5^{u}cdot du=frac{5^{u}}{ln5}+C=frac{5^{tgx}}{ln5}+C\\10); ; int frac{cos(ln3x)}{x}dx=[, u=ln3x,; du=frac{1}{3x}cdot 3dx=frac{dx}{x}, ]=\\=int cosucdot du=sinu+C=sin(ln3x)+C\\12); ; int ctg(e^{2x}+5)cdot e^{2x}dx=[, u=e^{2x}+5,; du=2e^{2x}dx, ]=

=frac{1}{2}int ctgucdot du=frac{1}{2}int frac{cosu, du}{sinu}=frac{1}{2}int frac{d(sinu)}{sinu}=frac{1}{2}cdot ln|sinu|+C=\\=frac{1}{2}cdot ln|sin(e^{2x}+5)|+C\\13); ; int frac{x^2, dx}{sqrt{9+x^6}}=int frac{x^2, dx}{sqrt{9+(x^3)^2}}=[, u=x^3,; du=3x^2dx, ]=\\=frac{1}{3}int frac{du}{sqrt{9+u^2}}=frac{1}{3}cdot ln|u+sqrt{9+u^2}|+C=frac{1}{3}cdot ln|x^3+sqrt{9+x^6}|+C\\7); ; int frac{dx}{sin(4x-1)}=[u=4x-1,; du=4dx, ]=frac{1}{4}int frac{du}{sinu}=

=[, t=tgfrac{u}{2},; sinu=frac{2t}{1+t^2},; du=frac{2, dt}{1+t^2} , ]=frac{1}{4}int frac{frac{2, dt}{1+t^2}}{frac{2t}{1+t^2}}=frac{1}{4}int frac{dt}{t}=\\=frac{1}{4}cdot ln|t|+C=frac{1}{4}cdot ln|tgfrac{u}{2}|+C=frac{1}{4}cdot ln|tgfrac{4x-1}{2}|+C\\11); ; int frac{dx}{sqrt{x}sqrt{5-x}}=int frac{dx}{sqrt{5x-x^2}}=\\=[5x-x^2=-(x^2-5x)=-((x-frac{5}{2})^2-frac{25}{4})=frac{25}{4}-(x-frac{5}{2})^2,, \\t=x-frac{5}{2},; dt=dx, ]=int frac{dt}{sqrt{frac{25}{4}-t^2}}=

=arcsin frac{t}{5/2}+C=arcsinfrac{2(x-frac{5}{2})}{5} +C=arcsinfrac{2x-5}{5}+C
Вас заинтересует