• Предмет: Математика
  • Автор: Hansoub
  • Вопрос задан 2 года назад

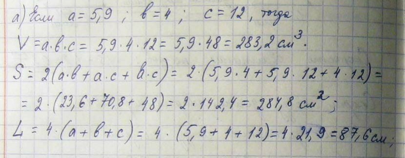
Длина прямоугольного параллелепипеда равна "а" см, ширина "б" см и высота "с" см. Найдите объем, площадь поверхности и сумму длин всех ребер этого параллелепида, если:
а) а = 5,9, б = 4, с = 12

Ответы

Ответ дал: 0293737Киса111
2
вроде так должно быть
Приложения:
Вас заинтересует