• Предмет: Алгебра
  • Автор: 12242154255
  • Вопрос задан 2 года назад

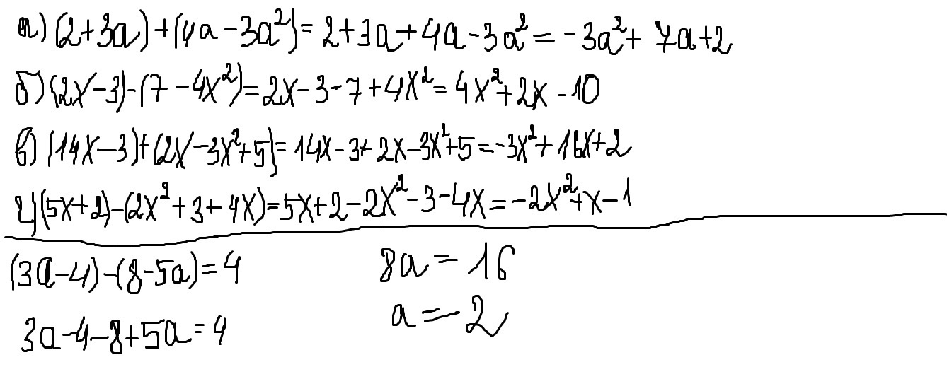
Преобразуйте в многочлен стандартного вида:
А)(2+3а)+(4а-3а²)=
Б)(2х-3)-(7-4х²)=
В)(14х-3)+(2х-3х²+5)=
Г)(5х+2)-(2х²+3+4х)=
Решите уравнение: (3а-4)-(8-5а)=4

Приложения:

Ответы

Ответ дал: Pelageya
1
Решение прикреплено в файле.
Приложения:
Вас заинтересует