Ответы
Ответ дал:
0
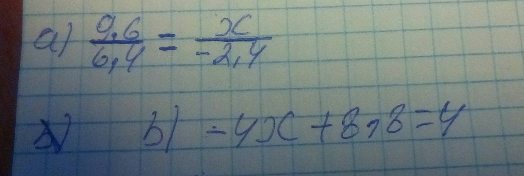
а.9.6*(-2.4)=х*6.4
-23.04=х*6.4
х=-23.04:6.4
х=-6.4
б. Какой знак между восьмерками?
-23.04=х*6.4
х=-23.04:6.4
х=-6.4
б. Какой знак между восьмерками?
Вас заинтересует
2 года назад
2 года назад
2 года назад
2 года назад
3 года назад
3 года назад
9 лет назад
9 лет назад