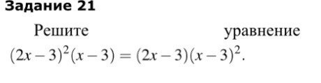
помогите решить срочно!!!
не сходятся ответы с подругой
Приложения:

amronechek:
можно я заменой переменной нафигачу?
Ответы
Ответ дал:
0
........................................................
Приложения:

Вас заинтересует
1 год назад
2 года назад
3 года назад
3 года назад
8 лет назад