• Предмет: Алгебра
  • Автор: VERNEROK
  • Вопрос задан 2 года назад

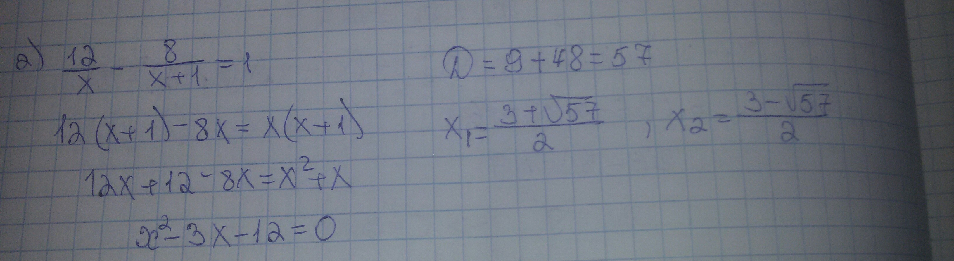
12/x1 - 8/x+1 =1 ПОМОГИТЕ РЕШИТЬ ПОЖАЛУЙСТА. СРОЧНООООО

Ответы

Ответ дал: Нурлан1232
0
не забудь подписаться
Приложения:
Вас заинтересует