• Предмет: Алгебра
  • Автор: ksuve14
  • Вопрос задан 2 года назад

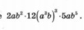
решите пожалуйста...............

Приложения:

Ответы

Ответ дал: mrkat13
0
120а в 8 степени b в 10
Надеюсь я тебе помог

ksuve14: неа, ответ 120а в 11 степени и b в 10.
mrkat13: Почему же?
ksuve14: потому что степень в скобках умножается
Вас заинтересует