• Предмет: Алгебра
  • Автор: МатематикФиля
  • Вопрос задан 2 года назад

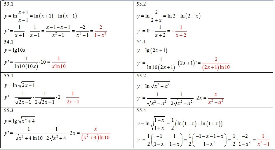
ВЫСШАЯ МАТЕМАТИКА!
53. 54. 55.
ПОМОГИТЕ ПОЖАЛУЙСТА.
ПОДРОБНОЕ РЕШЕНИЕ.

Приложения:

Godnessgirl: Какие номера?
xatri666: Производной найти? очень много.я
МатематикФиля: 53
МатематикФиля: 54
МатематикФиля: 55
МатематикФиля: три номера
МатематикФиля: там же отмечено
Godnessgirl: увидела)
МатематикФиля: ну вот...
МатематикФиля: вверху номера

Ответы

Ответ дал: Godnessgirl
2
,,,,,,,,,,,,,,,,,,,,,,,,,,,,,,
Приложения:
Ответ дал: justcall
4
Ну и с меня )))
Только в некоторых случаях я упрощала логарифм перед нахождение производных.
Приложения:
Вас заинтересует