• Предмет: Алгебра
  • Автор: Kotrkotl2004
  • Вопрос задан 2 года назад

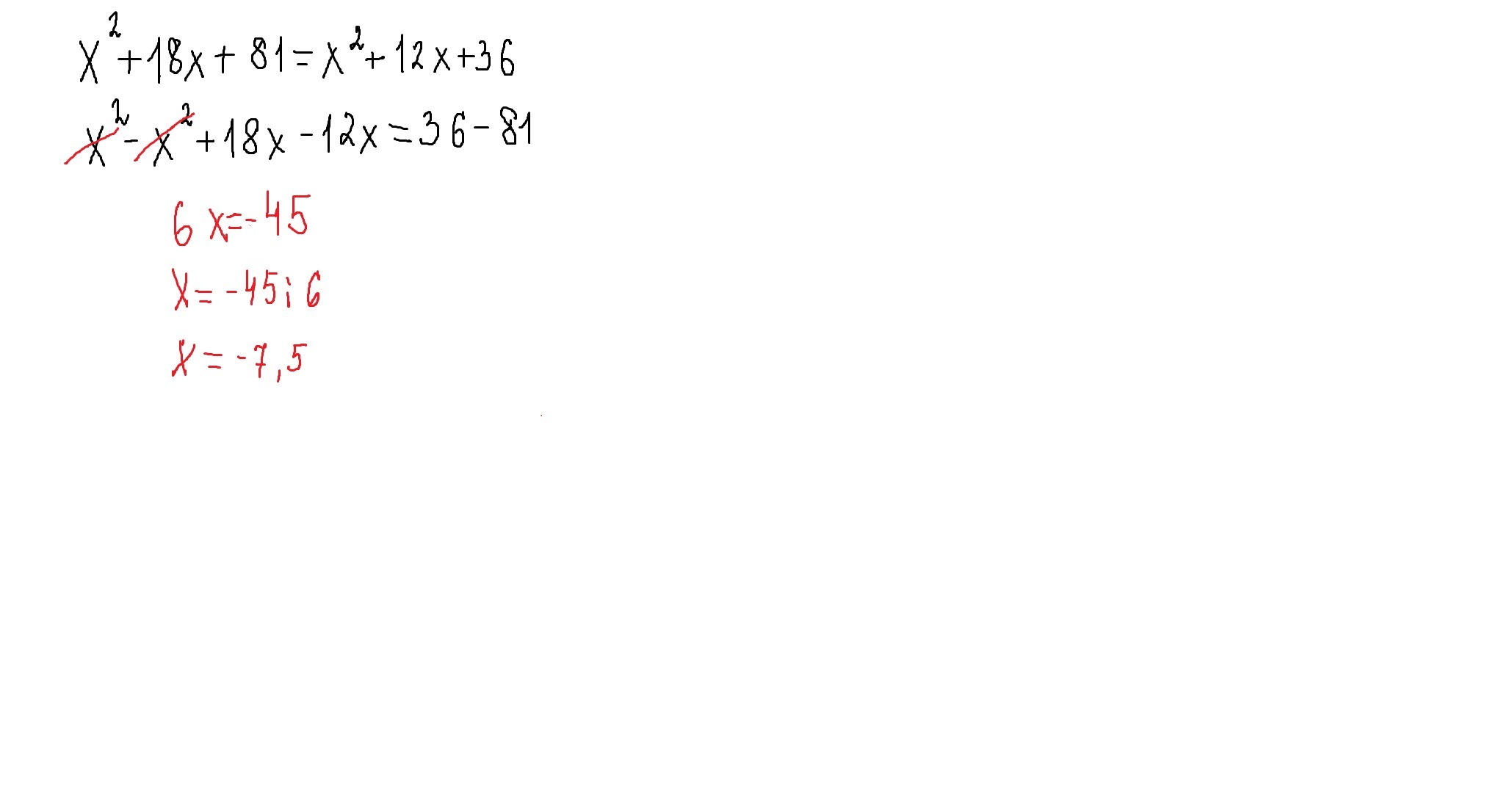
Решите урав­не­ние (х+9)в квадрате=(х+6)в квдрате

Ответы

Ответ дал: PolyLoli
1
Извиняюсь за почерк
(Вроде должно быть так)
Приложения:

Kotrkotl2004: Спасибо)))
Ответ дал: parus77
0
смотри решение внизу
Приложения:
Вас заинтересует