• Предмет: Алгебра
  • Автор: danilushakov2
  • Вопрос задан 2 года назад

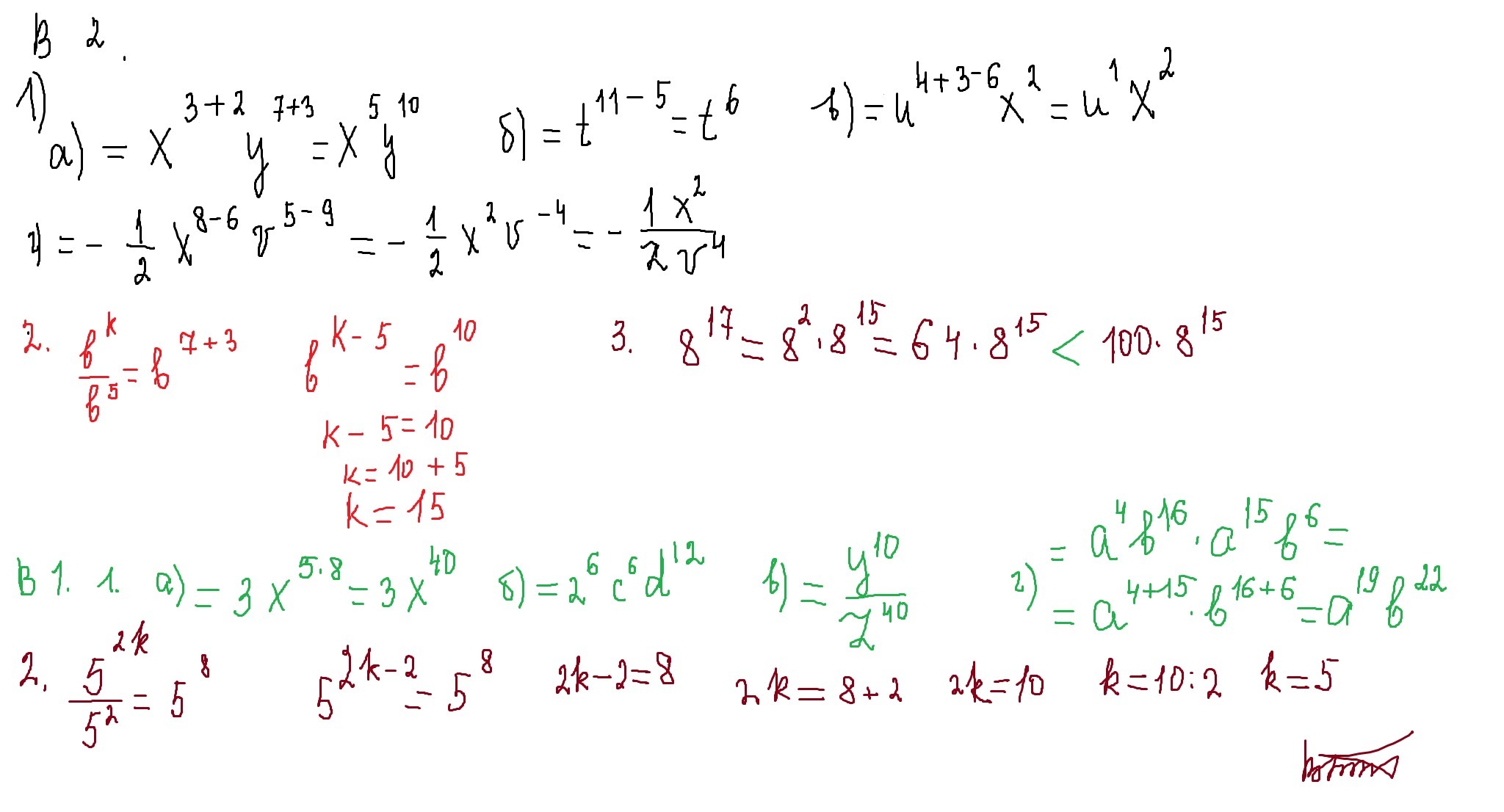
Помогите 2 вариант и ниже 1

Приложения:

Ответы

Ответ дал: parus77
0
3.
  
  3⁷*⁴ ₓ    5⁵*⁴                                             1          1
------------------= 3²⁸ ⁻³⁰ ₓ 5²⁰ ⁻ ²⁰= 3⁻² ₓ 5⁰= --- ₓ1= ----
  5⁴*⁵  ₓ 3⁶*⁵                                               9         9
Приложения:
Вас заинтересует