Ответы
Ответ дал:
0
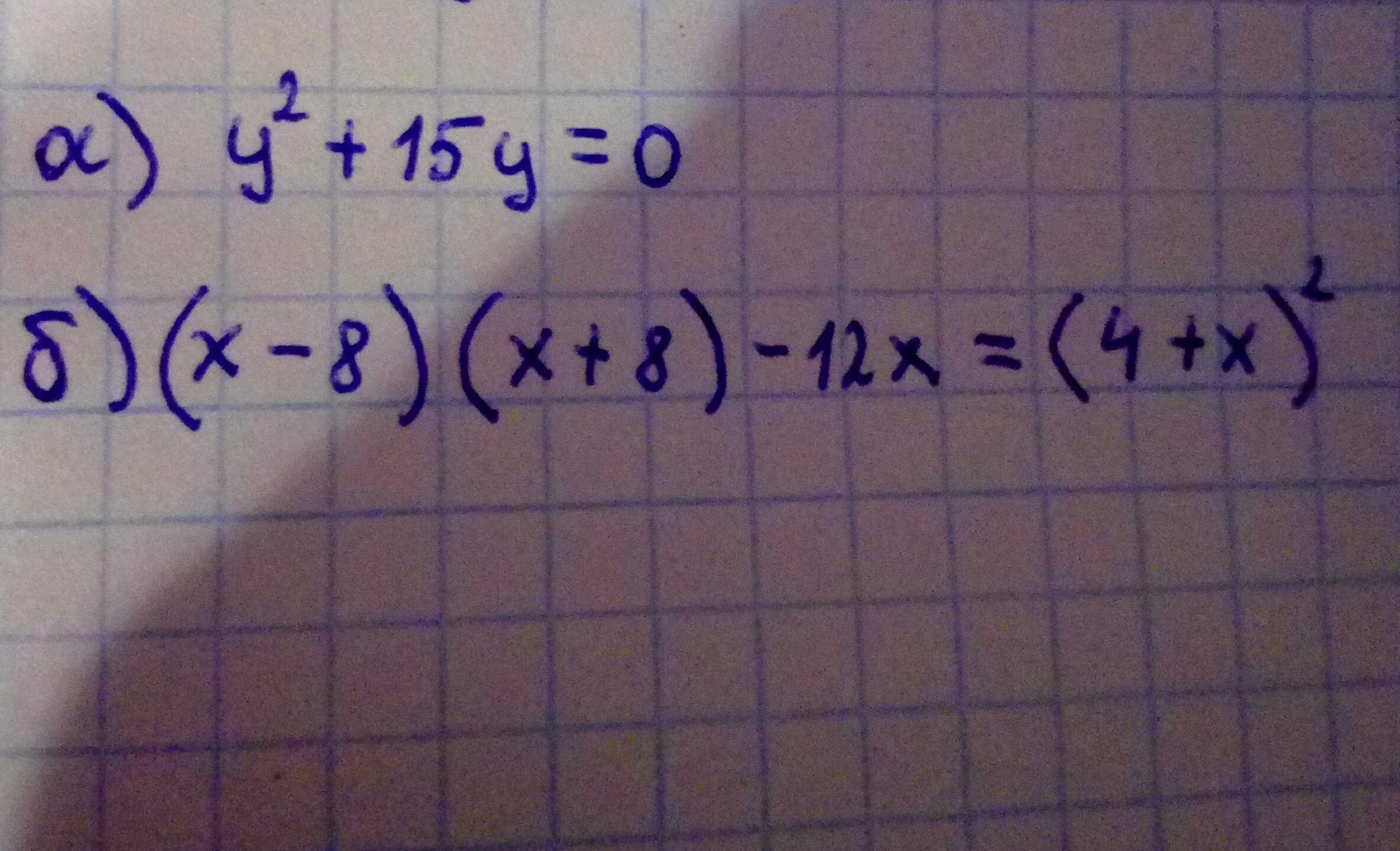
a)y^2+15y=0
y(y+15)=0
y=0 или y+15=0
y=-15
y(y+15)=0
y=0 или y+15=0
y=-15
Аноним:
а под б?
Ответ дал:
1
а) y²+15y=0
y(y+15)=0
y=0 или y+15=0
y=-15
б) (х-8)(х+8)-12х=(4+х) ²
x²-64-12x=16+8x+x²
x²-12x-8x-x²=64+16
-20x=80
x=80:(-20)
x= -4
y(y+15)=0
y=0 или y+15=0
y=-15
б) (х-8)(х+8)-12х=(4+х) ²
x²-64-12x=16+8x+x²
x²-12x-8x-x²=64+16
-20x=80
x=80:(-20)
x= -4
Вас заинтересует
2 года назад
2 года назад
2 года назад
9 лет назад