• Предмет: Алгебра
  • Автор: Alaxambar
  • Вопрос задан 2 года назад

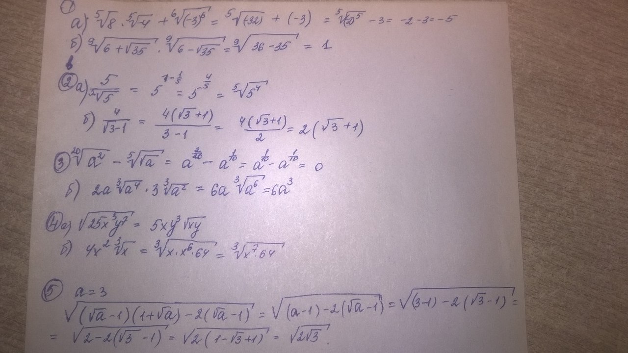
Ребят выручайте!!! Решите хотя бы 3(из 5) любых задания из варианта А2. Спасибо.

Приложения:

Ответы

Ответ дал: VictoriaVl
1
Все задания решены, но при переписывании, проверяйте, мало ли что
Приложения:
Вас заинтересует