• Предмет: Геометрия
  • Автор: darinashagaeva
  • Вопрос задан 2 года назад

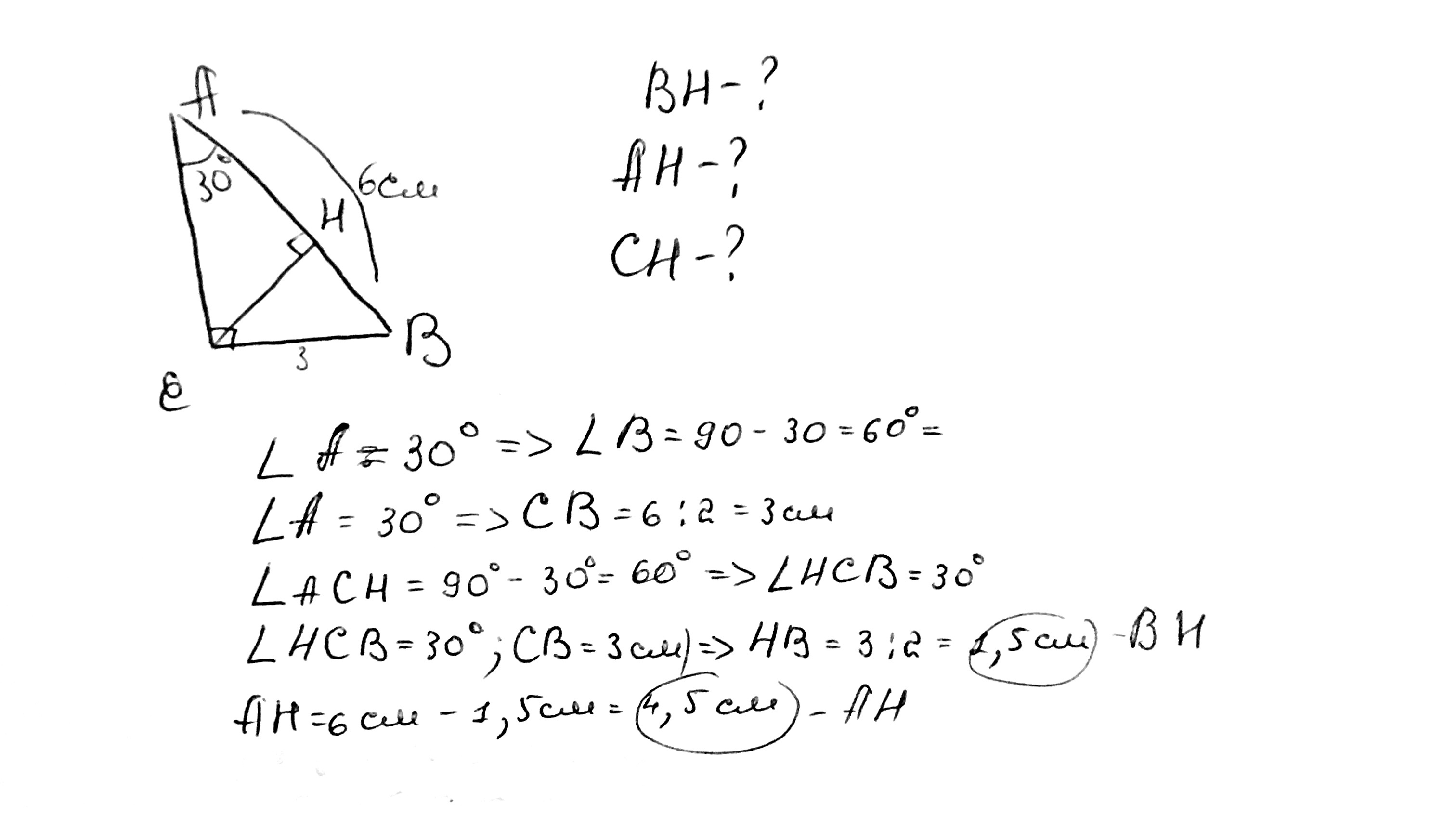
Помогите пж с третьим и четвертым заданием

Приложения:

Ответы

Ответ дал: Dian34526
1
Только третье.........я хз
Приложения:
Вас заинтересует