Помогите решить пожалуйста!
Алгебра 10 класс
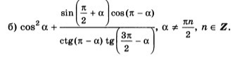
cos 2a sin п/2+a cos п-a ctg п-a tg 3п/2-a
Приложения:

Ответы
Ответ дал:
3
Добавлю ответ.
////////////////////////
////////////////////////
Приложения:

basyafeu:
Спасибо! Получил 5!!!
Вас заинтересует
1 год назад
1 год назад
2 года назад
2 года назад
3 года назад
3 года назад