• Предмет: Математика
  • Автор: Blusky252
  • Вопрос задан 2 года назад

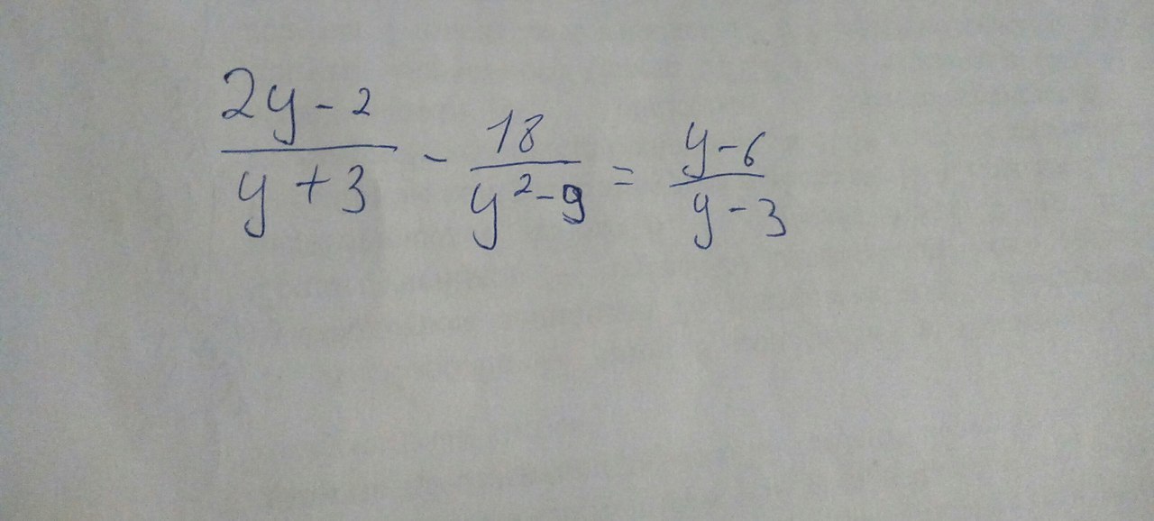
решите уравнение
СРОЧНО ПОЖАЛУЙСТА

Приложения:

Ответы

Ответ дал: Anna012503
0
вот ответ но если что перепроверь
Приложения:
Вас заинтересует